Jul 02,2025
口服IRAK4抑制剂可预防急性呼吸窘迫综合征,本研究中抑制剂通过beats365合成
Acute respiratory distress syndrome (ARDS) is a critical respiratory illness associated with infection, autoimmunity, and injuries. However, to date, there are no well-proven pharmacotherapies except dexamethasone. This study is aimed to evaluate IRAK4 inhibitors as a potential treatment for ARDS-cytokine release syndrome (CRS).
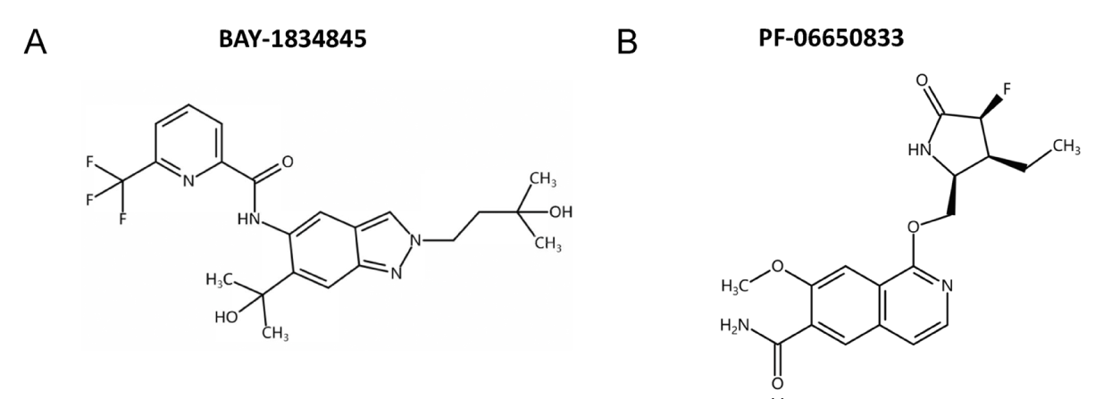
Researchers applied two IRAK4 inhibitors, BAY-1834845 and PF-06650833 to an inhaled lipopolysaccharide (LPS)-induced ARDS mouse model with control of high dose dexamethasone (10 mg/kg). Unexpectedly, although both compounds had excellent IC50 on IRAK4 kinase activity, only BAY-1834845 but not PF-06650833 or high dose dexamethasone could significantly prevent lung injury according to a blinded pathology scoring. Further, only BAY-1834845 and BAY-1834845 combined with dexamethasone could effectively improve the injury score of pre-existed ARDS. Compared with PF-06650833 and high dose dexamethasone, BAY-1834845 remarkably decreased inflammatory cells infiltrating lung tissue and neutrophil count in BALF. BAY-1834845, DEX, and the combination of the two agents could decrease BALF total T cells, monocyte, and macrophages. In further cell type enrichment analysis based on lung tissue RNA-seq, both BAY-1834845 and dexamethasone decreased signatures of inflammatory cells and effector lymphocytes. Interestingly, unlike the dexamethasone group, BAY-1834845 largely preserved the signatures of naïve lymphocytes and stromal cells such as endothelial cells, chondrocytes, and smooth muscle cells. Differential gene enrichment suggested that BAY-1834845 downregulated genes more efficiently than dexamethasone, especially TNF, IL-17, interferon, and Toll-like receptor signaling.
BAY-1834845 and PF-06650833 are synthesize by Medicilon.
查看更多