beats365

×
电话
电话
微信公众号
业务咨询
中国:
业务咨询专线:400-780-8018
(仅限服务咨询,其他事宜请拨打川沙总部电话)
川沙总部电话: +86 (21) 5859-1500
海外:
+1(781)535-1428(U.S.)
0044 7790 816 954 (Europe)
留言
留言
在线留言×
点击切换
Customer Center
客户中心
Oct 17,2025
高效环保:Medicilon助力成功合成高性能海洋抗污化合物Butenolide
Biofouling is one of the most serious problems in the maritime industry and aquaculture development. In the marine environment, submerged surfaces are often colonized by marine organisms that have come to be called biofoulers, which are marine organisms that attach to submerged surfaces. Biofoulers increase the weight, drag and surface corrosion of ships, and lead to huge costs to maintain mariculture systems and seawater pipelines. Antifouling compounds are used as biocides in marine paints that are coated on the submerged surfaces to control the preponderance of biofoulers. Butenolide [5-octylfuran-2(5H)-one] is a very promising anti-marine-fouling compound. The antifouling compound 5-octylfuran-2(5H)-one (here referred to as butenolide) was synthesized by Medicilon.
查看更多
高效环保:Medicilon助力成功合成高性能海洋抗污化合物Butenolide
Oct 16,2025
靶向PXR:天然产物衍生物调控药物代谢新策略!本研究中蛋白表达与纯化通过beats365进行
Nuclear receptors are ligand-activated transcription factors involved in regulating many physiologic and pathologic processes. Ligand binding to nuclear receptors leads to dissociation of co-repressors, recruitment of co-activators, and subsequent activation of gene expression. Because of their associations with many human diseases, nuclear receptors are therapeutic targets for pharmaceutical development. The pregnane X receptor (PXR, NR1I2) belongs to the nuclear receptor family. The activity of PXR can be controlled by the binding of small molecule agonists or antagonists. Because of its unique ligand binding pocket, PXR binds promiscuously to structurally diverse chemicals. PXR regulates the expression of proteins such as drug metabolizing enzyme cytochrome P450 3A4 (CYP3A4), efflux transporter P-glycoprotein, and other multidrug resistance proteins, which are involved in metabolism and elimination of potentially harmful chemicals. PXR has been detected in various tissues including kidney, colon, brain capillaries, small intestine, and predominantly in liver, and it can be activated by various ligands that bind to its ligand binding domain (LBD). PXR forms a heterodimeric complex with RXR to activate gene transcription. The recombinant pETDuet1-hPXR-LBD/mSRC-1 plasmid (Medicilon, Shanghai, China) was transformed into Escherichia coli BL21 DE3 cells for protein expression.
查看更多
靶向PXR:天然产物衍生物调控药物代谢新策略!本研究中蛋白表达与纯化通过beats365进行
Oct 16,2025
抗癌新希望:强效Smac模拟物SM-1200引发持久肿瘤消退,极具临床潜力!本研究中PK实验通过beats365进行
SM-1200, a potent bivalent Smac mimetic, induces rapid, complete, and durable tumor regression in mice. X-linked inhibitor of apoptosis protein (XIAP) and cellular IAP1/2 (cIAP1/2) regulate apoptosis and are promising cancer therapeutic targets. Smac (second mitochondria-derived activator of caspases), also known as DIABLO, antagonizes IAP proteins. Researchers designed and synthesized new compounds based on bivalent Smac mimetics, leading to the identification of SM-1200 (compound 12). SM-1200 binds to XIAP (Ki = 0.5 nM), cIAP1 (Ki = 3.7 nM), and cIAP2 (Ki = 5.4 nM), and inhibits growth of MDA-MB-231 breast cancer (IC50 = 11.0 nM) and SK-OV-3 ovarian cancer (IC50 = 28.2 nM) cell lines. With an improved pharmacokinetic profile compared to previous bivalent Smac mimetics, SM-1200 effectively induces rapid and durable tumor regression in the MDA-MB-231 xenograft model. These findings suggest SM-1200 is a promising Smac mimetic and warrants extensive evaluation as a potential candidate for clinical development. Pharmacokinetic (PK) studies of bivalent Smac mimetics were performed in male Sprague Dawley rats (body weight: 250–270 g) by Medicilon. Before the pharmacokinetic studies, animals were carotid cannulated.
查看更多
抗癌新希望:强效Smac模拟物SM-1200引发持久肿瘤消退,极具临床潜力!本研究中PK实验通过beats365进行
Oct 15,2025
卓越成药性:高效AR-PROTAC降解剂ARD-2051在多个物种中展现优质PK属性与口服生物利用度!本研究中PK实验通过beats365进行
Prostate cancer (PCa) is a major global health concern. The androgen receptor (AR), a key member of the nuclear hormone receptor superfamily, is vital for prostate gland development and the maintenance of male secondary sexual characteristics. ARD-2051 is a potent and orally bioavailable AR PROTAC degrader. In vitro microsomal metabolic stability studies of AR degraders were performed in Medicilon. The in vitro plasma stability of a test compound was studied in human, mouse, rat, dog and monkey plasmas in Medicilon. Plasma protein binding of a test compound was assessed by equilibrium dialysis method with dialysis membrane strips in Medicilon. The CYP inhibition of a test compound was studied in human liver microsomes in Medicilon. PK studies in mice, rats and dogs were performed in Medicilon. In mouse, ARD-2051 has an excellent overall PK profile, with a low clearance (Cl = 3.7 ml/min/kg), a moderate volume of distribution (Vss = 1.3 L/kg), a half-life of approximately 5 h with both IV and oral routes of administration, and an excellent oral exposure with a good oral bioavailability (F) of 53%. In rat, ARD-2051 has a low-moderate clearance in rats (Cl = 10.2 ml/min/kg), a moderate volume of distribution (Vss = 1.3 L/kg), a half-life of 2-2.3 h with intravenous (IV) and oral routes of administration, and achieves an excellent oral bioavailability (F) of 82%. In dog, ARD-2051 has a low-moderate clearance (Cl = 4.6 ml/min/kg), a good volume of distribution (Vss = 2.8 L/kg), a long half-life of 8.9 h with IV route of administration and 21.1 h with oral route of administration, an excellent oral exposure (Cmax = 294 ng/ml and AUC=1822 h*mg/ml at 1 mg/kg), and an oral bioavailability (F) of 46%. These data indicate that ARD-2051 has favorable pharmacokinetic properties and excellent oral bioavailability in mice, rats, and dogs.
查看更多
卓越成药性:高效AR-PROTAC降解剂ARD-2051在多个物种中展现优质PK属性与口服生物利用度!本研究中PK实验通过beats365进行
Oct 15,2025
剂型革新:果冻制剂提升药物吸收,改善用药依从性!本研究中PK实验通过beats365进行
Jellies offer a palatable alternative to traditional tablets, improving medication adherence in children and the elderly. A study comparing different formulations of common cold medicines (syrup, jellies, and tablets) revealed that while none were bioequivalent according to FDA standards, jellies and syrup exhibited similar absorption rates and extents. Tablets, however, significantly delayed and reduced drug absorption compared to the syrup. These findings suggest that jellies can be a patient-friendly formulation with comparable bioavailability to syrup. To evaluate the effect of jelly formulation on the bioavailability of cold medicines, two types of jellies were prepared for a fixed-dose combination of acetaminophen (AAP), chlorpheniramine maleate (CPM), dextromethorphan hydrobromide (DMH), and dl-methylephedrine hydrochloride (MEH). A pharmacokinetic study was performed in beagle dogs after oral administration in Medicilon Preclinical Research (Shanghai) LLC (Shanghai, China). The plasma concentration profiles of AAP, CPM, DMH, and MEH are presented in the figure below. As shown in the initial plasma concentration profile for 4 h, the jellies and syrup showed rapid absorption of AAP, while both tablets retarded the absorption of AAP exhibiting lower Cmax and delayed Tmax. The jellies had less delay in the absorption rate and better bioavailability than the tablets.
查看更多
剂型革新:果冻制剂提升药物吸收,改善用药依从性!本研究中PK实验通过beats365进行
Jul 11,2025
Sirt6抑制可延缓自免性脑脊髓炎发作,本研究中PK实验通过beats365进行
Experimental autoimmune encephalomyelitis (EAE) is the most common animal model of multiple sclerosis (MS), a neuroinflammatory and demyelinating disease characterized by multifocal perivascular infiltrates of immune cells. Although EAE is predominantly considered a T helper 1-driven autoimmune disease, mounting evidence suggests that activated dendritic cells (DC), which are the bridge between innate and adaptive immunity, also contribute to its pathogenesis. Sirtuin 6 (SIRT6), a NAD+-dependent deacetylase involved in genome maintenance and in metabolic homeostasis, regulates DC activation, and its pharmacological inhibition could, therefore, play a role in EAE development. The PK study was performed by Medicilon.
查看更多
Sirt6抑制可延缓自免性脑脊髓炎发作,本研究中PK实验通过beats365进行
Jul 11,2025
端锚聚合酶抑制剂G007-LK具有治疗结直肠癌的潜力,本研究中PK实验通过beats365进行
Colorectal tumors, in particular, often show dysregulated WNT/β-catenin signalling. G007-LK may be a candidate for use in preclinical trials to determine the efficacy of this drug in preventing growth of WNT dependent tumors. Doses of the tankyrase inhibitor G007-LK shown to be sufficient to inhibit tumor growth are well tolerated by mice within the time frames investigated. Lineage tracing from LGR5+ intestinal stem cells was reduced upon G007-LK treatment, without altering the main morphological characteristics of the intestine. Moreover, mice treated with G007-LK did not experience weight loss, suggesting that the absorptive capacity of the intestine was not negatively impacted. Medicilon Preclinical Research LCC performed the pharmacokinetic studies.
查看更多
端锚聚合酶抑制剂G007-LK具有治疗结直肠癌的潜力,本研究中PK实验通过beats365进行
Jul 11,2025
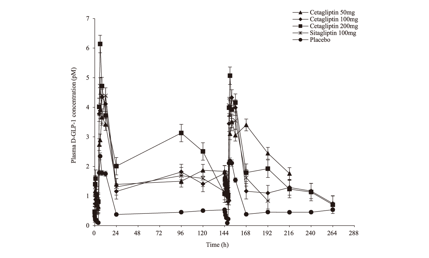
Cetagliptin通过抑制DPP-4/增加GLP-1降低血糖,可用于治疗2型糖尿病,本研究中GLP-1检测通过beats365进行
Cetagliptin demonstrates the great potential for treatment with type 2 diabetes patients based on the inhibition of DPP-4, the increase in GLP-1 and insulin, the decrease in glucose, and might be more effective in DPP-4 inhibition than sitagliptin. This study was conducted in a small, selected population of healthy subjects with normoglycaemia. The results suggest that Cetagliptin, at doses ≥50 mg once daily (QD), exhibited minimal accumulation, inhibited plasma DPP-4 activity by >80% over a 24-hour dosing interval, and increased active glucagon-like-1 peptide (GLP-1) levels without producing hypoglycaemia. The active GLP-1 assays were performed by Medicilon Preclinical Research LLC. Generally, Cetagliptin has favourable clinical tolerability and safety.
查看更多
Cetagliptin通过抑制DPP-4/增加GLP-1降低血糖,可用于治疗2型糖尿病,本研究中GLP-1检测通过beats365进行
Jul 10,2025
JX01是一种抗心力衰竭候选药物,具有良好的PK特性和安全性。PK实验通过beats365进行
Heart failure (HF), known as the terminal stage of various cardiovascular diseases, is characterized by poor prognosis and high mortality. JX01 a promising anti-HF drug candidate, showed good pharmacokinetic and safety profiles. JX01 exhibits better cardiomyocyte protective effects than EMPA in vitro. JX01 exhibits lower minimum effective doses than EMPA in vivo. JX01 has good pharmacokinetic properties. Pharmacokinetic studies were commissioned by Medicilon.
查看更多
JX01是一种抗心力衰竭候选药物,具有良好的PK特性和安全性。PK实验通过beats365进行
Jul 10,2025
TBN是一种治疗缺血性卒中的新型临床候选药物,本研究中TBN通过beats365合成
​Stroke is one of the most devastating diseases affecting the health and life of human beings. TBN, a novel tetramethylpyrazine derivative armed with a powerful free radical-scavenging nitrone moiety, has been reported to reduce cerebral infarction in rats through multi-functional mechanisms of action. TBN may serve as a promising new clinical candidate for the treatment of ischemic stroke. Six Cynomolgus macaque monkeys were used for pharmacokinetic study. TBN were given intravenously at doses of 30 and 90 mg/kg, 3 monkeys for each dose. TBN (purity 99.3%) used in this study was synthesized by Medicilon.
查看更多
TBN是一种治疗缺血性卒中的新型临床候选药物,本研究中TBN通过beats365合成
×
搜索验证
点击切换